
Étude expérimentale animale
| Liu Y1, Sun M1, Wang Y1, Li Y1, Zhang Z1, Ren L2, Yao W1, Yu Y3. Mast cell degranulation mediates analgesic effects of acupuncture at different stimulation durations in arthritic rats. Integr Med Res. 2025 Sep;14(3):101196. [1] |
2FPRS Department, Eye & ENT Hospital of Fudan University, Shanghai, China.
3College of Medical Instruments, Shanghai University of Medicine & Health Sciences, Shanghai, China.
L'étude
Objectif
L’étude vise à analyser l'influence de la durée de stimulation sur l'effet antalgique de l'acupuncture dans un modèle d'arthrite chez le rat, et à explorer le rôle joué par la dégranulation mastocytaire comme médiateur de cet effet.
Méthodes
- Modèle expérimental :
- Un modèle d'arthrite est induit chez des rats Sprague–Dawley par injection intra-articulaire d’adjuvant complet de Freund (CFA) au niveau de la cheville gauche.
- Interventions :
- L’acupuncture est appliquée au 36E ipsilatéral à l’aide d’un bras robotisé garantissant une stimulation mécanique standardisée (amplitude ±1,5 mm, fréquence 2 Hz), pendant 2, 5, 10, 20 ou 30 minutes.
- Les groupes contrôle incluent une absence de traitement, une rétention d’aiguille pendant 10 minutes et une stimulation manuelle réalisée selon les mêmes paramètres (amplitude ±1,5 mm, fréquence 2 Hz) pendant 10 minutes.
- Analyses et critères d’évaluation :
- Les effets antalgiques sont évalués à partir des seuils de douleur mécaniques (test de Von Frey) et thermiques (test de chaleur radiante), exprimés sous forme d’un indice de récupération du seuil de douleur (pain threshold recovery ratio, PTRR).
- Le taux de dégranulation des mastocytes au point 36E est quantifié par analyse histologique.
- Des mastocytes de souris sont cultivés sur une membrane souple, puis soumis à un étirement mécanique cyclique contrôlé (1 Hz, déformation de 10 %) pendant 5, 15, 30 ou 60 minutes, afin d’évaluer la libération de médiateurs mastocytaires (5-HT, histamine et leucotriènes). Ce dispositif constitue un modèle in vitro reproduisant les contraintes mécaniques tissulaires induites par la manipulation de l’aiguille.
Résultats
- Les seuils de douleur :
L’effet antalgique augmente avec la durée de stimulation et atteint un plateau entre 20 et 30 minutes. Les durées courtes (<10 minutes) sont associées à des effets limités, tandis qu’une stimulation de 10 minutes produit déjà une amélioration mesurable (figure 1).
Figure 1. Effet de la durée de stimulation par acupuncture sur les seuils de douleur thermique (Liu et al., 2025)
Le PTRR (pain threshold recovery ratio) augmente avec la durée de stimulation. Les valeurs observées à 20 et 30 minutes sont significativement plus élevées que dans les groupes contrôle et atteignent un plateau autour de 0,7, correspondant à une récupération d’environ 70 % du seuil de douleur par rapport à la perte induite par le modèle. À 10 minutes, la stimulation manuelle et la stimulation robotisée entraînent toutes deux une amélioration significative, sans différence significative entre les deux modalités. NS : non significatif ; * p < 0,05 ; *** p < 0,001 ; **** p < 0,0001.
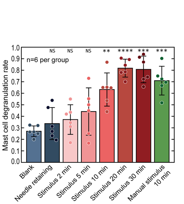
- La dégranulation des mastocytes :
- La dégranulation des mastocytes augmente avec la durée de stimulation, faible pour les durées courtes (<10 minutes) et élevée après 20 à 30 minutes (figure 2).
- Elle est positivement corrélée à l’amélioration des seuils de douleur, tant thermique (r = 0,687) que mécanique (r = 0,599) (figure 2).
Figure 2. Relations entre durée de stimulation, dégranulation des mastocytes et effet antalgique (Liu et al., 2025)
À gauche, le taux de dégranulation des mastocytes augmente progressivement avec la durée de stimulation, avec une élévation marquée à partir de 10 minutes et un plateau entre 20 et 30 minutes. À droite, ce taux est positivement corrélé à l’amélioration des seuils de douleur thermique (PTRR), indiquant que l’activation mastocytaire est associée à l’effet antalgique observé. L’ensemble suggère une relation cohérente entre durée de stimulation, activation mastocytaire et efficacité antalgique, sans que cette corrélation permette à elle seule d’établir un lien causal.
- La libération des médiateurs mastocytaires :
- Les expériences in vitro montrent une augmentation tendancielle de la libération de 5-HT, d’histamine et de leucotriènes avec la durée d’étirement, sans que cette évolution atteigne un niveau de significativité robuste en raison de la variabilité inter-échantillons.
Conclusion
L’effet antalgique optimal est obtenu pour des durées de stimulation de 20 à 30 minutes, en corrélation avec une dégranulation mastocytaire maximale.
Ces résultats peuvent être replacés dans un modèle mécanistique impliquant l’interaction entre mastocytes et fibres nerveuses (figure 3).
Figure 3. Modèle mécanistique des interactions mastocytes–fibres nerveuses dans l’effet antalgique de l’acupuncture (Liu et al., 2025)
La stimulation par acupuncture induit des contraintes mécaniques au sein du tissu conjonctif, transmises par l’entrelacement des fibres de collagène. Cet étirement tissulaire favorise la dégranulation des mastocytes, avec libération de médiateurs tels que la sérotonine (5-HT) et l’histamine. Ces médiateurs activent les terminaisons nerveuses locales et participent à des boucles d’amplification impliquant de nouvelles dégranulations mastocytaires. Ce schéma propose un cadre mécanistique pour interpréter les relations entre durée de stimulation, activité mastocytaire et effet antalgique.
Commentaires
Mise en évidence expérimentale d’une durée optimale de séance
L’article analysé provient du Shanghai Key Laboratory of Acupuncture Mechanism and Acupoint Function, un laboratoire de référence majeur dans l’étude des mécanismes biologiques de l’acupuncture. Créé en 2014, il fait suite au Shanghai Research Institute of Acupuncture and Meridian, institution pionnière fondée en 1958 au sein de la Shanghai University of Traditional Chinese Medicine.
Ce travail s’inscrit dans un programme de recherche centré sur la réponse locale à l’acupuncture et les mécanismes de mécanotransduction. Un précédent article, analysé sur ce blog (Wang 2024 [2,3]), reposait sur le même dispositif expérimental (modèle murin, manipulation robotisée) et visait à déterminer les paramètres mécaniques optimaux, ici repris (2 Hz, ±1,5 mm).
Le bras robotisé permet de standardiser et quantifier précisément la stimulation acupuncturale, en supprimant la variabilité du geste [4]. L’équivalence dans l'étude des effets entre une stimulation manuelle de 10 minutes et une stimulation par bras robotisé constitue un argument de validation du dispositif dans ces conditions expérimentales.
L’étude de 2024 utilisait une durée de 10 minutes, avec des résultats exploratoires suggérant un effet amplifié pour des durées plus longues. L’étude de 2025 explore cette hypothèse et met en évidence un effet optimal autour de 20–30 minutes, mais des durées encore plus prolongées ne sont pas analysées.
L’effet antalgique apparaît dépendre d’une activation progressive des mastocytes, dont la cinétique suit celle de la dégranulation, suggérant l’existence d’un seuil d’activation nécessaire à l’efficacité. La relation entre durée de stimulation et effet antalgique s’interprète ainsi comme un processus dépendant du temps, avec une phase de latence, une augmentation progressive de l’effet, puis un plateau. Cette dynamique évoque une relation dose–réponse appliquée à un stimulus mécanique.
Temporalités de l’acupuncture : du cadre expérimental aux enjeux cliniques
L'étude identifie expérimentalement une durée optimale de stimulation de 20 à 30 minutes concordante avec les autres données expérimentales disponibles (Lu 2020 [5]) mais également avec celle largement utilisée dans la pratique contemporaine de l'acupuncture.
Elle ne constitue donc pas une découverte en soi, mais la validation expérimentale d’un paramètre déjà stabilisé par la pratique clinique. Cette observation illustre le fait que l’acupuncture se présente avant tout comme un corpus de savoirs empiriques élaborés dans la pratique. Cet ancrage empirique est précisément ce qui rend l’acupuncture particulièrement accessible à l’investigation expérimentale.
Mais les résultats expérimentaux obtenus sur des modèles animaux ne peuvent être directement transposés ni généralisés à la clinique humaine dans l’ensemble des contextes. Ainsi, une étude rétrospective en oncologie portant sur des symptômes tels que la fatigue, le stress ou la qualité de vie ne met pas en évidence de différence d’efficacité entre des durées de séance de 2, 10 et 20 minutes (Oh 2018 [6]). Cela ne remet pas en cause l’existence d’une temporalité optimale, mais souligne que l’efficacité de l’acupuncture ne peut être rapportée à un paramètre isolé.
Temporalité de l'acupuncture : relation temps–effet
Les paramètres temporels — durée de séance, fréquence et nombre total de séances — relèvent de la structuration interne du protocole d'acupuncture. Une revue systématique incluant 43 études publiées entre 2000 et 2018 analyse la dynamique de l’effet de l’acupuncture et en propose une description selon une relation temps–effet (Lin 2019 [7]). Cette relation dépend largement des paramètres du protocole et des conditions expérimentales (type de stimulation, pathologie, modèle humain ou animal). Deux niveaux peuvent être distingués.
Le premier niveau concerne l’effet d’une séance unique. Le pic d’efficacité peut, selon les conditions expérimentales, survenir très rapidement après la puncture (< 5 minutes) ou au contraire plus tardivement (> 30 minutes), puis se maintenir en plateau avant de décroître, ce qui détermine en pratique la durée optimale de la séance. Cette variabilité suggère l’intervention de mécanismes distincts selon l’état du système et les conditions expérimentales.
Figure 4. Évolution temporelle de l’effet antalgique d’une séance unique d’acupuncture dans la dysménorrhée (d’après Chen et al., 2009 [8])
Une séance unique d’acupuncture de 30 minutes induit un effet antalgique progressif mais rapide, avec un maximum atteint en fin de stimulation. Après le retrait des aiguilles, l’effet diminue puis se stabilise sous forme d’un plateau résiduel d’environ 50 % de l’effet maximal, maintenu sur la durée de suivi (2 heures). Ce modèle clinique laisse en suspens plusieurs questions : l’impact d’une durée de séance plus longue et la fenêtre optimale de répétition des séances.
De leur côté, les données expérimentales animales (Cui et al., 2016 [9]) mettent en évidence l’apparition d’une tolérance à l’acupuncture, induite par des stimulations prolongées, caractérisée par une diminution progressive de l’effet dès la 1ère heure jusqu’à disparition complète après 6 heures, ou par une répétition trop rapprochée des séances (par exemple, des séances de 30 minutes répétées toutes les heures).
Dans la revue (Lin 2019 [7]), les auteurs décrivent une spécificité fonctionnelle des points, associée à une variabilité de la dynamique temporelle de la réponse. Les points liés à des fonctions neuro-musculaires présentent des cinétiques plus rapides, tandis que ceux impliqués dans des régulations endocriniennes ou immunitaires présentent des cinétiques plus lentes. Ces observations conduisent à considérer que la dynamique de l’effet dépend du point stimulé et du type de régulation qu’il engage, et suggèrent l’existence d’un temps de stimulation optimal propre à chaque point. Elles réintroduisent ainsi, sous une forme expérimentale, une proposition déjà formulée dans les textes classiques, notamment le Jiayi jing (voir encadré Perspective historique sur la durée de la séance d’acupuncture).
Le second niveau correspond à une dynamique cumulative à l’échelle du traitement. Il se traduit par une augmentation progressive de l’effet au fil des séances, relevant d’une relation dose–réponse spécifique à chaque pathologie, dont nous avons donné plusieurs exemples sur ce blog [10–13] .
Temporalité de l'acupuncture : le moment du traitement
À côté des paramètres internes au protocole d’acupuncture (durée de séance, rythme et nombre de séances), la temporalité du traitement peut également impliquer des facteurs externes liés au moment de l’intervention (Lu 2020 [5]). Il peut s’agir :
- du moment optimal de traitement au cours de la journée, relevant d’une approche de type chronoacupuncture ;
- du moment optimal d’application de l’acupuncture dans l’évolution d’une pathologie ou en relation avec une autre intervention médicale programmée. Cela soulève des questions cliniques concrètes : dans la dysménorrhée, faut-il traiter avant ou pendant les règles ? Dans l’AVC ou la paralysie faciale, peut-on traiter en phase aiguë ? En contexte opératoire, l’acupuncture doit-elle être réalisée avant, pendant ou après l’intervention ? En cas de PMA, doit-elle être réalisée avant l’implantation ou au moment de celle-ci, peut-elle être poursuivie après ?
Ces différentes dimensions du moment du traitement ont fait l’objet de travaux expérimentaux et cliniques suggérant l’existence de fenêtres temporelles d’efficacité, dépendantes à la fois des rythmes biologiques et du contexte pathologique, mais aussi de périodes au cours desquelles l’acupuncture pourrait être contre-indiquée.
La durée de rétention des aiguilles constitue une dimension constante de la pratique de l’acupuncture, dont l’évolution peut être suivie des textes fondateurs à l’époque moderne.1
Les textes fondateurs : une durée conçue comme variable opératoire
La question de la rétention des aiguilles est abordée dès les premiers textes — Huangdi Neijing Suwen et surtout Lingshu, dynastie Han, IIᵉ siècle av. J.-C. – IIᵉ siècle ap. J.-C. Elle s’inscrit d’emblée dans le cadre technique nouveau de l’acupuncture, lié à l’apparition de l’aiguille filiforme2.
La rétention y est abordée avant tout par des principes opératoires, sans formulation quantitative précise. Le Lingshu énonce ainsi : « Si le qi n’arrive pas, on peut répéter les manipulations ; s’il arrive, on retire l’aiguille et on ne la laisse pas en place. » La durée n’est donc ni fixée ni systématique, mais dépend de l’arrivée du qi et de la situation clinique. D’autres passages précisent qu’il convient de retenir plus longtemps dans les états de vide, de retirer rapidement lorsque le qi circule, ou encore d’adapter la conduite selon la profondeur, la saison ou la nature de l’atteinte. La durée apparaît ainsi comme une variable ajustée et non comme un paramètre fixe.
Parallèlement, le Lingshu aborde également la question de la réitération des séances3. Le Lingshu (Nishun Feishou) indique ainsi : « Chez l’enfant, piquer superficiellement et retirer rapidement l’aiguille, deux séances par jour sont possibles » ; « Chez l’adulte robuste, piquer profondément et retenir plus longtemps, en augmentant le nombre de séances ». Le Lingshu (Shizhong) précise : « Dans les maladies anciennes, où le facteur pathogène pénètre profondément, il faut piquer profondément et laisser l’aiguille en place longtemps, avec des séances répétées dans la journée ». Le Lingshu (Tianshou Gangrou) indique également : « Pour une maladie de neuf jours, trois séances suffisent ; pour une maladie d’un mois, dix séances sont nécessaires, en ajustant selon la proximité ou l’éloignement du trouble ». Dès l’origine, l’intervention s’inscrit dans un cadre temporel qui en organise les modalités.
Les manuscrits médicaux de Wuwei4, datés du début des Han orientaux (Ier–IIe siècle apr. J.-C.) et découverts en 1972 sous forme de tablettes et de lamelles de bois, témoignent d’un savoir médical à visée pratique, structuré autour de prescriptions et de procédures thérapeutiques. La durée de rétention des aiguilles y est exprimée à l’aide d’unités concrètes, telles que le nombre de respirations ou des temps de cuisson. Ainsi, pour le point zusanli, il est indiqué de « retenir l’aiguille le temps de cuire un sheng de riz » (20 à 30 minutes), tandis que pour le point feishu, la durée est de « cent vingt respirations » (environ 6 minutes), et pour le traitement du froid de l’Estomac, de « quarante à cinquante respirations » (environ 2 minutes). La durée apparait ici explicitement quantifiée et différenciée selon les points ou les situations cliniques.
Au IIIᵉ siècle, le Zhenjiu Jiayi Jing marque une étape supplémentaire : les points y sont décrits de manière systématique, et la durée de rétention — exprimée en respirations — figure parmi leurs caractéristiques, au même titre que la localisation ou la profondeur de puncture. Elle apparaît ainsi comme une donnée attachée au point. Sur 348 points décrits, une durée de rétention est mentionnée pour 147 (42,2 %) et varie de une à vingt respirations, avec une nette prédominance de sept respirations (Huang 2019, figure 4). L’article source retient une approximation d’environ 3 secondes par respiration, soit une durée maximale de rétention d’environ une minute.
Huang Xinyun1 observe que l’une des caractéristiques du Zhenjiu Jiayi Jing est l’utilisation largement majoritaire de prescriptions à point unique : 83,5 % des formules (873 sur 1045) ne comportent qu’un seul point. Le nombre maximal de points par formule est de six, observé dans seulement trois prescriptions (0,3 %). Ceci suggère que la durée totale d’une séance était courte, ne dépassant probablement pas 2 à 3 minutes.
Les sources postérieures : illustration et déclinaison des principes
Dans les périodes postérieures, les textes n’introduisent plus de véritable innovation conceptuelle concernant la durée de rétention, mais reprennent et commentent les principes, notamment à travers des cas cliniques.
La durée est d'abord déterminée par la réaction du patient et l’obtention du qi. Le Sanguozhi (IIIᵉ siècle) rapporte ainsi : « Lorsqu’il faut puncturer, cela ne dépasse pas un certain point ; après insertion, on dit : “il faut atteindre tel endroit, prévenez quand c’est atteint”. Lorsque le patient indique que c’est arrivé, on retire immédiatement l’aiguille, et la maladie s’améliore. » Ce principe est repris et formulé explicitement dans le Zhenjiu Dacheng (dynastie Ming, XVIᵉ siècle) : « Lorsque la sensation de lourdeur et d’engourdissement apparaît, il faut retirer ; lorsque le qi est obtenu, il n’est pas nécessaire de retenir. »
La durée est également déterminée par l’obtention du résultat thérapeutique. Le Zhouhou Beiji Fang (IVᵉ siècle, Ge Hong) décrit : « Piquer sous le nez, près de la narine, du côté interne, et laisser l’aiguille en place… puis piquer devant les deux oreilles et laisser en place… jusqu’à ce que le patient retrouve sa clarté ; alors on arrête. » À l’inverse, un cas rapporté dans le Nanshi (VIIᵉ siècle) illustre un effet immédiat sans rétention : « Il punctura le méridien yang du pied et le méridien yang de la main, et le fœtus fut immédiatement expulsé. »
La durée peut enfin être modulée selon la gravité de la pathologie. Le Qianjin Yaofang (VIIᵉ siècle, Sun Simiao) indique, dans les états critiques sans pouls : « Puncturer et laisser en place plus de cent respirations. » Un cas rapporté dans le Bianque Xinshu (dynastie Song) précise : « Un patient souffrait d’un abcès cérébral… je puncturai le point Yuji, insertion de deux cun, avec une rétention de vingt respirations. Je demandai : “Sous l’aiguille, ressentez-vous de la chaleur ?” Il répondit : “Oui.” On lui fit alors inspirer et l’aiguille fut retirée ; le saignement s’arrêta immédiatement. »
Enfin, le Zhenjiu Dacheng propose également des indications plus systématiques, en fonction des saisons : « vingt-quatre respirations au printemps et en été, trente-six en automne et en hiver », tout en maintenant le principe fondamental d’attendre l’arrivée du qi.
Sous la dynastie Ming, le Zhenjiu Wenda de Jiang Ji (1530) introduit une réflexion critique en mettant en lumière une tension entre la codification des durées en nombre de respirations et leur adaptation clinique.
La période moderne : autonomisation et quantification de la durée
La période moderne est marquée par la standardisation des procédures opératoires de l’acupuncture. Cheng Dan’an5 (1899–1957), avec son traité princeps de 1931, en constitue la figure centrale. Il participe à l’unification des pratiques et des instruments, notamment par la définition de standards de fabrication des aiguilles. Dans ce cadre, la paramétrisation de la durée de rétention s’inscrit dans une quantification plus générale de la stimulation acupuncturale. Chez Cheng Dan’an, celle-ci est définie par plusieurs paramètres : nombre de points, caractéristiques des aiguilles, profondeur d’insertion, intensité des manipulations, durée et fréquence des séances.
La durée est désormais exprimée en unités de temps, notamment en minutes, et intégrée à la prescription. Elle tend ainsi à s’autonomiser, alors qu’elle est initialement comprise comme un élément de la manipulation de l’aiguille.
Chez Zhu Lian (1909–1978), pionnière de l’institutionnalisation de l’acupuncture dans la Chine populaire, la rétention correspond à une prolongation de la manipulation, conçue comme un moyen de stabiliser l’effet thérapeutique. Elle propose ainsi des repères de durée — environ 5 minutes pour les affections aiguës et chez l’enfant, 20 minutes pour les pathologies chroniques, jusqu’à 30 minutes pour les douleurs — qui témoignent d’une formalisation opératoire de la durée comme paramètre du traitement.
Une étape déterminante est constituée par le développement de l’anesthésie par acupuncture au tournant des années 1970, qui confère à la temporalité une place centrale dans la conduite opératoire de l’acupuncture. Il ne s’agit plus seulement de déclencher un effet, mais d’obtenir, sous contrainte temporelle, une analgésie suffisante et reproductible pour permettre l'initiation d'un acte chirurgical, puis d’en assurer le maintien pendant toute la durée de l’intervention. L’une des conséquences de l’anesthésie par acupuncture est le développement d’une acupuncture expérimentale sur des modèles animaux de la douleur, visant à analyser la cinétique de l’effet analgésique et ses déterminants.
L’ensemble de cette évolution marque un déplacement du cadre de l’acupuncture : d’une pratique fondée sur l’ajustement clinique immédiat, elle peut désormais être appréhendée comme une technique paramétrable et expérimentable, où la durée devient une variable contrôlable, isolable et mesurable.
1. Huang XY, Li J, Gu K, Xu H, Cui RL, Yang WJ, Ying JW, Zong L, Zhang R. [Discussion on the duration of needle retention]. Zhongguo Zhen Jiu. 2019 Apr 12;39(4):445-50.
2. Nguyen J. L’analyse métallurgique des aiguilles de la tombe du marquis de Haihun : une autre histoire de l’acupuncture. Acupuncture Preuves & Pratiques. Août 2025. https://gera.fr/analyse-metallurgique-des-aiguilles-de-la-tombe-du-marquis-de-hainun/
3. Lu H, Hu JH, Han LS, et al. A review of time-effect research on acupuncture in experimental rats/mice in the recent 10 years. J Acupunct Tuina Sci. 2020;18(4):315-320. https://link.springer.com/article/10.1007/s11726-020-1194-8
4. Yang Y, Brown M. The Wuwei medical manuscripts: a brief introduction and translation. Early China. 2017;40:241-301. https://doi.org/10.1017/eac.2017.3
5. Xia YB, Cheng J, Mu YY, Gan JX. [Analysis on Cheng Dan-an's exploration of quantification acupuncture and moxibustion stimulation]. Zhen Ci Yan Jiu. 2013 Feb;38(1):73-7.
L'essentiel à retenir
Cette étude expérimentale animale montre qu’une séance unique d’acupuncture de 20 à 30 minutes permet d’obtenir un effet antalgique optimal, corrélé à une dégranulation mastocytaire maximale au niveau du point d’acupuncture.
La durée de stimulation apparaît comme un paramètre actif de la réponse biologique, s’inscrivant dans une relation temps–effet caractérisée par une phase d’induction, un maximum d’effet et une décroissance partielle avec persistance d’un effet résiduel.
La temporalité du traitement implique des facteurs internes au protocole (durée, rythme et nombre de séances), mais aussi des facteurs externes liés au moment de l’intervention, dans la journée, dans l’évolution de la pathologie ou en relation avec une autre intervention.
Cette question de la temporalité est présente dès les premières sources et témoigne de l’ancrage empirique de l’acupuncture, ce qui en fait aujourd’hui un objet d’investigation clinique et expérimentale.
Dr Johan Nguyen
Références
- Liu Y, Sun M, Wang Y, Li Y, Zhang Z, Ren L, Yao W, Yu Y. Mast cell degranulation mediates analgesic effects of acupuncture at different stimulation durations in arthritic rats. Integr Med Res. 2025 Sep;14(3):101196. doi: 10.1016/j.imr.2025.101196. Epub 2025 Jun 26. https://doi.org/10.1016/j.imr.2025.101196 🔓
- Wang YX, Liu YH, Zhang ZL, Qiao X, Li YC, Ren LJ, Ding GH, Yao W, Yu Y. Influence of acupuncture intensity on analgesic effects in AA rat models. Front Bioeng Biotechnol. 2024 Dec 11;12:1502535. https://doi.org/10.3389/fbioe.2024.1502535 🔓
- Nguyen J. Quels paramètres pour une manipulation de l’aiguille par enfoncement-retrait à visée antalgique ? Acupuncture Preuves & Pratiques. Février 2025. https://gera.fr/quels-parametres-pour-une-manipulation-de-laiguille-par-enfoncement-retrait-a-visee-antalgique/ 🔓
- Nguyen J. Robotisation de l’acupuncture : puncture et manipulation d’aiguille automatisées. Acupuncture Preuves & Pratiques. Mars 2025. https://gera.fr/robotisation-de-lacupuncture/ 🔓
- Lu H, Hu JH, Han LS, et al. A review of time-effect research on acupuncture in experimental rats/mice in the recent 10 years. J Acupunct Tuina Sci, 2020, 18(4): 315-320. https://link.springer.com/article/10.1007/s11726-020-1194-8
- Oh B, Eade T, Kneebone A, Hruby G, Lamoury G, Pavlakis N, Clarke S, Zaslawski C, Marr I, Costa D, Back M. Acupuncture in Oncology: The Effectiveness of Acupuncture May Not Depend on Needle Retention Duration. Integr Cancer Ther. 2018 Jun;17(2):458-466. https://doi.org/10.1177/1534735417734912🔓
- Lin LL, Wang LQ, Yang JW, Tu JF, Wang TQ, Zou X, Sun N, Liu CZ. Researches status on time-effect of acupuncture. Chinese Acupuncture and Moxibustion. 2019;39(5):565-570.
- Cui LY, Ding MX. [Progress of Researches on Central Mechanism of Electroacupuncture Tolerance]. Zhen Ci Yan Jiu. 2016 Dec 25;41(6):550-5.
- Chen SZ, Pu YQ, Hou WI. [Preliminary observation on analgesic effect’s time-effectiveness rule of acupuncture Sanyinjiao for primary dysmenorrhea]. J Clin Acupunct Moxibustion. 2009;25(10):1.
- Nguyen J. Relation dose-effet dans le traitement par acupuncture de la gonarthrose. Acupuncture Preuves & Pratiques. Juin 2020. https://gera.fr/relation-dose-effet-dans-le-traitement-par-acupuncture-de-la-gonarthrose/ 🔓
- Nguyen J. Temporalités optimales du traitement par acupuncture de la douleur. Acupuncture Preuves & Pratiques. Juin 2020. https://gera.fr/temporalites-optimales-du-traitement-par-acupuncture-de-la-douleur/ 🔓
- Nguyen J. Traitement par acupuncture de la migraine : combien de séances ? Acupuncture Preuves & Pratiques. Novembre 2024. https://gera.fr/traitement-par-acupuncture-de-la-migraine-effet-dose/ 🔓
- Nguyen J. Relation dose-réponse dans le traitement par acupuncture de la BPCO. Acupuncture Preuves & Pratiques. Mai 2024. https://gera.fr/bpco-acupuncture/🔓
Mots-clés : Acupuncture expérimentale- mécanismes d'action
